特大喜讯:遂平喜获中央产粮大县红包!

编辑:李慧勤 时间:11/12/2018 9:11:56 AM 浏览:1532

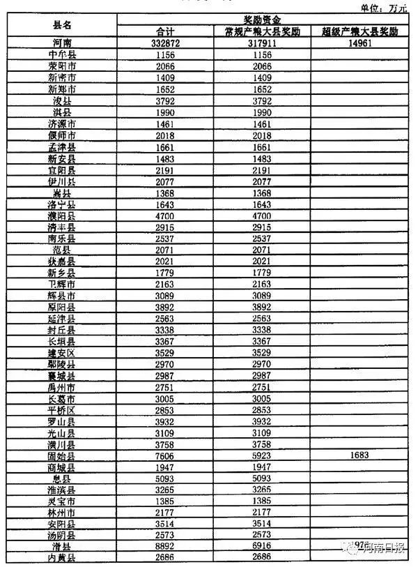
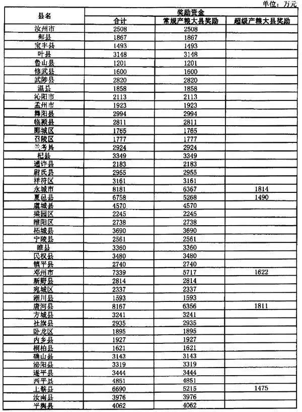
         记者从河南省财政厅得到消息:河南有104个产粮大县获中央财政奖励33.3亿元这104个产粮大县包括95个常规产粮大县,9个超级产粮大县!!!咱遂平也有一份!微信图片_20181112090026

微信图片_20181112090125微信图片_20181112090130微信图片_20181112090522